Zootecnia Tropical > Sumario de la Colección > Volumen 21

Zootecnia Trop., 21(4):449-466. 2003

Efecto de métodos de pastoreo sobre sabanas moduladas.
 II. Composición proteica y de minerales en planta y suelo

René Torres1, Eduardo Chacón2, Wilfre Machado3, Luís Astudillo1
José Carrasquel1 y Espedito García1
 

 

 1Instituto Nacional de Investigaciones Agrícolas (INIA)
Estación Experimental Apure. San Fernando de Apure
Estado Apure, Venezuela
 
2Universidad Central de Venezuela. Facultad de Ciencias Veterinarias
Maracay, estado Aragua. Venezuela
3Universidad Central de Venezuela. Facultad de Agronomía
Maracay, estado Aragua. Venezuela

Nota: Artículo corregido con la FE DE ERRATA, de Zootecnia Tropical 22(01).


RESUMEN

El estudio fue desarrollado en el Módulo Experimental de Mantecal, estado Apure, Venezuela (7°35’ N y 69°10’ O), durante el período 1984-1998, con el objetivo de evaluar la interacción entre la producción primaria y secundaria de sabanas hiperestacionales. La vegetación dominante en los Bancos (zona fisiográfica alta) estuvo constituida por Panicum laxum, Paspalum chaffanjonii, Leersia hexandra y Axonopus compressus, conjuntamente con más de 80 especies; en los Bajíos (zona fisiográfica media) estuvo conformada por las tres primeras especies señaladas más Hymenachne amplexicaulis y 50 adicionales; y en los Esteros (zona fisiográfica baja), la inundación anual reduce la dominancia a L. hexandra  e H. amplexicaulis, y a otras 15 especies hidrófilas.  Se asignaron 200 ha con similares proporciones altas, medias y bajas, por tratamiento de Pastoreo Continuo (PC), Pastoreo Diferido (PD) con utilización de las zonas altas durante las lluvias, las zonas medias en la transición lluvia-sequía y sequía-lluvia, y las zonas bajas durante el periodo seco, y Pastoreo Diferido Rotativo (PDR) con uso similar al tratamiento PD, pero con tres subdivisiones en su zona media y seis en su zona baja. La modalidad de producción para los tratamientos fue  de  sistema vaca-maute, con temporada de monta durante el periodo de sequía y carga animal promedio de 0,50 UA/ha/año. La concentración proteica de las pasturas resultó deficiente solo bajo PC durante el periodo seco (PC=5,8; PD=6,6 y PDR=7,3 %), con incremento al inicio de las lluvias por zona en: alta (14,1%) < media (16,3%) < baja (16,5%) y por tratamiento en: PC (13,6%) < PD (16,0%) < PDR (17,3%). Los niveles de fósforo generalizadamente deficitarios (0,15%) y de calcio deficitarios en especial bajo PC (PC=0,14; PD=0,21 y PDR=0,20%), solo cubren los niveles mínimos recomendados al inicio de las lluvias,  con uso diferido (PC =0,16; PD=,24 y PDR=0,24%). Similar comportamiento indicó el nivel de magnesio durante la sequía (0,15%) y la lluvia (0,15%) con énfasis en zonas medias y bajas y de sodio en zonas altas (0,09%) y media (0,09%). El potasio sólo reporto déficit durante la sequía, con énfasis en PDR, (PC=0,56; PD =0,40 y PDR=0,25%), similarmente el cobre para zonas bajas (PC = 26; PD = 13 y PDR=9 ppm), y a su vez, el zinc en zonas bajas (26 ppm) y en esta última zona el azufre presentó déficit en todos los tratamientos (PC=0,10; PD=0,11 y PDR=0,10%). Estos tres últimos elementos elevan su disponibilidad al inicio de las lluvias. Durante la sequía, el hierro se incremento hasta 1.000 ppm en zonas medias y bajas y el manganeso hasta 300 ppm en zonas altas y medias de los tratamientos, con reducción significativa al inicio de lluvias. La especie L. hexandra se correlacionó positivamente con tenores de proteína y calcio e H. amplexicaulis con hierro y cobre, mientras que  P. laxum con niveles de manganeso, potasio, zinc y cobre.  

Palabras clave: sabana, método de pastoreo, proteína, minerales.  

INTRODUCCIÓN

La vegetación de sabanas hiperestacionales moduladas ha sido caracterizada por Torres et al., (2003), en su clima, suelo y vegetación, y en su sucesión ante diferentes métodos de pastoreo.

En general, su oferta forrajera reporta mayor concentración proteica que las sabanas estacionales por una mayor presencia de especies con mecanismo fotosintetizante tipo C3, tales como L. hexandra e H. amplexicaulis.

No obstante, la problemática de nutrición mineral es común para ambos ecosistemas (Rojas et al., 1993), por frecuentes déficit de fósforo, calcio, magnesio, sodio, azufre y cobre, especialmente durante el período crítico de sequía. Sin embargo, en las sabanas hiperestacionales se acentúa el problema por niveles excesivamente elevados de hierro y manganeso, donde juega un papel determinante los procesos de oxido-reducción en el suelo, por su ciclo inundación-desecación. Problemática similar ha sido reportada por Tejos (2000) sobre sabanas hiperestacionales de mejores características de fertilidad de suelo, donde el azufre se presenta con niveles excesivos, y donde se han señalado altos niveles para manganeso, azufre y molibdeno que pueden comprometer seriamente la nutrición del cobre y de otros elementos, que en general afectan la reproducción animal (Chicco y Godoy, 2002). Estos altos niveles de elementos no fueron reportados por Rojas et al., (1994) para sabanas similares a las moduladas.  

Por otro lado, la disminución de condición corporal en el animal durante el periodo de lluvias en sabanas a nivel mundial, ha sido asociada con la proliferación de hongos, facilitados por la reducción de azufre y zinc en la pastura, como condicionantes de enfermedades carenciales a través del potencial que tienen para agotar la vitamina B1 y la B12 (Mullenax y Baumann, 1990); campo de investigación con importantes interacciones no abordadas a profundidad hasta los momentos.  

MATERIALES Y MÉTODOS

El trabajo se realizó en el Módulo Experimental de Mantecal (70 35’ N y 690 10’ O; Mantecal, estado Apure, Venezuela), perteneciente al Instituto Nacional de Investigaciones Agrícolas (INIA), durante el período 1984-1998, sobre sabanas hiperestacionales y en superficie de 600 ha, las cuales fueron divididas en partes iguales para la conformación de los tratamientos de: a) Pastoreo Continuo (PC) de libre movimiento animal, b) Pastoreo Diferido (PD), con tres subdivisiones: 100,6 ha en zona alta, 56,6 ha en zona media y 47,9 ha en zona baja del módulo, las cuales fueron utilizadas preponderantemente durante el periodo de inundación, a entradas y salidas de lluvias, y durante la sequía, respectivamente y c) Pastoreo Diferido Rotativo (PDR), con similar uso al anterior y conformado por 92 ha en zona alta, 54 ha en zona media con tres subpotreros de similar superficie y 54 ha en zona baja con seis subpotreros de similar superficie. No obstante, durante el período 1984-1989, este tratamiento estuvo constituido por seis subpotreros de similar tamaño en cada una de sus tres zonas.

Todos los tratamientos fueron cargados con 0,50 UA/ha como promedio y fueron sostenidos en sus mismas áreas experimentales desde 1983 a 1999, excepto durante el año 1996, cuando existió pastoreo continuo en toda el área experimental.

Sobre las mencionadas superficies se realizaron estudios foto interpretativos (escala 1:20.000) para el establecimiento de superficies/fisiografías, en la denominaciones de Banco, Bajío y Estero, bajo el contexto de áreas de sabanas caracterizadas por factores ecológicos diferenciales o tipos de tierras. Para ello y posterior a su fotointerpretación, fueron realizados chequeos a campo comprobatorios sobre análisis de vegetación, suelo, posición fisiográfica y lámina de inundación; utilizando los siguientes criterios: a) especies dominantes por fisiografías basados en estudios de condición y tendencia de la misma área experimental por el método de los “Tres Pasos” (Reppert y Francis, 1973; Torres, 1986, 2003), b) identificación de áreas según criterios geomorfológicos y fisiográficos. c) clasificación de suelos e identificación, según Soil Survey Staff (1998), con caracterización de fertilidad en base a análisis de rutina sobre dos muestras compuestas (5 submuestras) por fisiografía a profundidad de 0-20 cm y caracterización de regímenes de inundación.

Durante 1997-1998, se efectuaron evaluaciones cada 45 días en las fisiografías disponibles a pastoreo, por medio de 10 marcos de 0,25 m2 sobre los cuales se realizó una evaluación destructiva, alrededor de transectas fijas en ubicación, dirección y sentido de 50 m de largo, representativas de 14 a 20 ha según la uniformidad e importancia de la fisiografía. Se procedió a cosechar en grupos de especies deseables y no deseables, y luego del secado (65° C) se calculo la materia seca deseable (MSD) y se remitió al laboratorio para la determinación de proteína cruda (AOAC, 1984), fósforo (Fiske y Subarrow, 1925), calcio, magnesio, sodio, potasio, hierro, cobre, zinc y azufre (espectrofotometría de absorción atómica). Sobre las transectas se evaluaron 10 marcos, espaciados cada 5 m de forma no destructiva, donde se determino cobertura aérea, frecuencia y fenología de las especies individualmente.

Se calcularon las medias en los porcentajes de elementos bromatológicos y minerales por fisiografía y tratamiento, como indicador de cambios de calidad en la oferta forrajera respectiva. Con apoyo del paquete SAS (SAS Inst., 1989), se procedió al análisis de componentes principales sobre 169 observaciones y 133  variables consideradas de interés tanto de parte animal como vegetal, confirmándose en función de sus valores en la  matriz de correlación y en los componentes.  

RESULTADOS Y DISCUSIÓN

El Cuadro 1 muestra la clasificación de los suelos de las diferentes fisiografías y la caracterización de disponibilidad de los principales elementos de fertilidad, resaltando la consideración de niveles muy altos para manganeso e hierro en todas las fisiografías, así como altos para cobre y zinc. Mientras que en elementos como fósforo y calcio los niveles resultan marginales. Esta situación involucra una importante interacción entre elementos minerales, tanto para la nutrición de la planta como para el animal pastoreador, lo cual no ha sido estudiado con mayor detalle y amplitud.

Físicamente, los suelos presentaron tendencia a la degradación de estructura, compactación y déficit de retención de agua, en el perfil de las fisiografías altas (Bancos) y medias (Bajíos). (Torres, 2003).

La concentración proteica de las pasturas resultó deficiente (<7,0%) marcadamente sólo bajo PC durante el período seco, con incremento significativo en todos los casos al inicio del período lluvioso, cuando estuvo asociada a los niveles de azufre, jerarquizándose en general en forma ascendente por zonas en: alta (14,1%) <media (16,3%) <baja (16,5%); y por tratamientos en: PC (13,6%) < PD (16,0) <PDR (17.3%) (Figura 1).  

Cuadro 1. Caracterización de los suelos del módulo experimental de Mantecal.  


Unidad Fisiográfica



Valor critico†  


Variable   Banco   Bajío   Estero 

Clasificación Aquic Haplustepts   Aeric 
Epiaquepts  
Vertic 
Epiaquepts  
.
Profundidad   0 – 20   0 - 20   0 - 20   .
Textura   Franco limosa   Franco limosa   Arcillosa   .
Materia Orgánica, % 1,47 (B)‡   2,86 (B)   3,74 (M)  .
pH 5,05 5,10 5,30 .
C.E. 0,068 0,065 0,070 .
Fósforo, ppm   5,5 (MB)   14,5 (B)  10 (B) <17
Potasio, ppm   42 (M)   80 (A)   108 (A) <37  
Calcio, ppm 47 (MB) 128 (M) 90 (M) <72
Magnesio, ppm   24 (M) 65 (A) 40 (A) <15
Hierro, ppm   86 (MA) 106 (MA) 87 (MA) <2,5
Cobre, ppm   2,0 (A) 3,3 (MA) 2,3 (A) <0,3
Zinc, ppm   2,0 (M) 5,5 (MA) 5,2 (MA) <0,5
Manganeso, ppm   8,7(A)  65,7(MA)   33,6(MA)   .
Molibdeno ppm   5,50 (B 4,25 (B)   7,10 (M <5,0  

† Rojas et al., (1993) 
Leyenda: B= bajo; M= medio; A= alto; MB= muy bajo; MA= muy alto.  

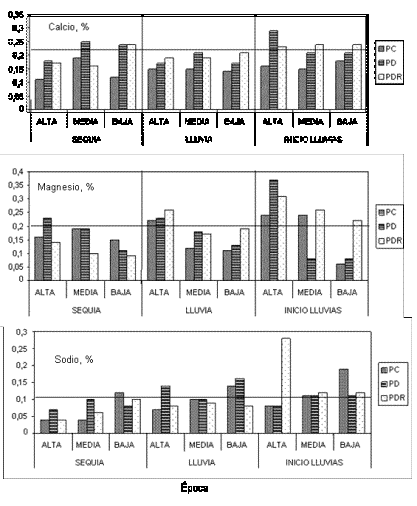
Bajo PC la oferta de la pastura en las zonas alta, media y baja durante las diferentes épocas, presentaron consistentemente menores valores de calcio al compararlas con los métodos de pastoreo diferidos, en cuyos dos últimos tratamientos sus valores se aproximan al mínimo recomendado de 0,22%  (Mc Dowell et al., 1997) (Figura 6). No obstante, sólo durante el inicio de las lluvias en PD y especialmente en PDR, se evidencia cobertura del valor mínimo recomendado para lactación temprana en bovinos de carne.

La concentración de fósforo generalizadamente se observa deficitaria en las zonas altas de los tratamientos y durante el período crítico de sequía en todas las fisiografías, siendo sólo durante las épocas de lluvias y entradas de éstas cuando apenas alcanza el nivel mínimo recomendado de 0,16% (Mc Dowell et al., 1997), en las zonas medias y bajas de los diferentes tratamientos (Figura 2). Similar situación es planteada para la concentración de magnesio (nivel crítico 0,20%), durante el período de sequía y se generaliza a las zonas medias y bajas de los tratamientos durante la época lluviosa. (Figura 6).

Figura 1. Efecto del pastoreo continuo (PC), diferido (PD) y diferido rotativo (PDR), sobre el contenido de proteína (%) de las pasturas de las zonas altas, medias y bajas del módulo de Mantecal, en diferentes épocas del año (nivel crítico = 7,0%).   

Figura 1. Efecto del pastoreo continuo (PC), diferido (PD) y diferido rotativo (PDR), sobre el contenido de proteína (%) de las pasturas de las zonas altas, medias y bajas del módulo de Mantecal, en diferentes épocas del año (nivel crítico = 7,0%).  

Para el elemento sodio (Figura 6) se observaron niveles marcadamente deficitarios (<0,10%)  durante la sequía en todos los tratamientos y sus zonas de utilización. En cambio, los niveles obtenidos en potasio son menores al 0,70% durante el periodo de sequía en las diferentes zonas de los tratamientos de PC y PDR (Figura 7); este elemento con el inicio de las lluvias, señala una gran disponibilidad.

Similarmente, las concentraciones de hierro (Figura 7), recomendada en 50 ppm, se reportan elevadas muy especialmente durante el periodo de sequía y en las partes bajas de los tratamientos, con disminución importante al inicio del periodo lluvioso. 

Las concentraciones de cobre, zinc (Figura 3) y azufre (Figura 4), con niveles de recomendación según McDowell et al., (1997) de 10 ppm., 30 ppm. y 0,15%, respectivamente, muestran deficiencias para el primer elemento (Cu) en el tratamiento de PDR durante el período seco, donde a su vez el zinc presenta déficit en zonas medias y bajas; y en esta última zona el azufre evidencia niveles deficitarios en todos los tratamientos. Estos tres elementos con el inicio de las lluvias reportan altas disponibilidades. En manganeso se obtuvo en promedio de los tres tratamientos, 5,8 veces más en las zonas altas, 4,9 veces en las zonas medias y 2,8 veces más en las zonas bajas, que el nivel de 40 ppm recomendado; con menor incidencia en el tratamiento de PDR (Figura 5).    

Figura 2. Efecto del pastoreo continuo (PC), diferido (PD) y diferido rotativo (PDR), sobre el contenido de fosfore (%) de las pasturas de las zonas altas, medias y bajas del módulo de Mantecal, en diferentes épocas del año (nivel crítico = 0,16%).

Figura 2. Efecto del pastoreo continuo (PC), diferido (PD) y diferido rotativo (PDR), sobre el contenido de fosfore (%) de las pasturas de las zonas altas, medias y bajas del módulo de Mantecal, en diferentes épocas del año (nivel crítico = 0,16%).

La evaluación de la influencia de los diferentes métodos de pastoreo estudiados no aporta evidencia de un efecto en la calidad dentro de cada una de las especies dominantes, especialmente en elementos claramente deficitarios durante la sequía, como fósforo (Figura 2) y magnesio (Figura 6), o de potasio  parcialmente deficitario (Figura 7); ni de excesiva acumulación en el tejido vegetal como el caso del hierro en zonas medias y bajas, y del manganeso en zonas altas y medias (Figura 7).  No obstante, Torres et al., (2003) al estudiar la sucesión y condición de las pasturas sometidas a los distintos tratamientos, resaltan la obtención de diferentes proporciones de las especies en las pasturas, principalmente en base al aporte que realiza la especie Leersia hexandra a la oferta general en cada tratamiento, dado su reconocida mayor calidad forrajera dentro de la comunidad.    

Figura 3. Efecto del pastoreo continuo (PC), diferido (PD) y diferido rotativo (PDR), sobre el contenido de cobre  y zinc (ppm) de las pasturas de las zonas altas, medias y bajas del módulo de Mantecal, en diferentes épocas del año (nivel crítico Cu y Zn = 10 y 30 ppm, respectivamente).  

Figura 3. Efecto del pastoreo continuo (PC), diferido (PD) y diferido rotativo (PDR), sobre el contenido de cobre  y zinc (ppm) de las pasturas de las zonas altas, medias y bajas del módulo de Mantecal, en diferentes épocas del año (nivel crítico Cu y Zn = 10 y 30 ppm, respectivamente).  

 

Figura 4. Efecto del pastoreo continuo (PC), diferido (PD) y diferido rotativo (PDR), sobre el contenido de azufre (%)  de las pasturas de las zonas altas, medias y bajas del módulo de Mantecal, en diferentes épocas del año (nivel crítico = 0,15%)

Figura 4. Efecto del pastoreo continuo (PC), diferido (PD) y diferido rotativo (PDR), sobre el contenido de azufre (%)  de las pasturas de las zonas altas, medias y bajas del módulo de Mantecal, en diferentes épocas del año (nivel crítico = 0,15%) 

 

Figura 5. Efecto del pastoreo continuo (PC), diferido (PD) y diferido rotativo (PDR), sobre el contenido de manganeso (ppm) de las pasturas de las zonas altas, medias y bajas del módulo de Mantecal, en diferentes épocas del año (nivel crítico = 40ppm).

Figura 5. Efecto del pastoreo continuo (PC), diferido (PD) y diferido rotativo (PDR), sobre el contenido de manganeso (ppm) de las pasturas de las zonas altas, medias y bajas del módulo de Mantecal, en diferentes épocas del año (nivel crítico = 40ppm).

 

Figura 6. Efecto del pastoreo continuo (PC), diferido (PD) y diferido rotativo (PDR), sobre el contenido de calcio, magnesio y sodio (%) de las pasturas de las zonas altas, medias y bajas del módulo de Mantecal, en diferentes épocas del año (niveles críticos = 0,22, 0,20 y 0,10%, respectivamente).  

Figura 6. Efecto del pastoreo continuo (PC), diferido (PD) y diferido rotativo (PDR), sobre el contenido de calcio, magnesio y sodio (%) de las pasturas de las zonas altas, medias y bajas del módulo de Mantecal, en diferentes épocas del año (niveles críticos = 0,22, 0,20 y 0,10%, respectivamente).  

 

Figura 7. Efecto del pastoreo continuo (PC), diferido (PD) y diferido rotativo (PDR), sobre el contenido de hierro (ppm) y potasio (%) de las pasturas de las zonas altas, medias y bajas del módulo de Mantecal, en diferentes épocas del año (niveles críticos = 50 ppm y  0,70%, respectivamente.

Figura 7. Efecto del pastoreo continuo (PC), diferido (PD) y diferido rotativo (PDR), sobre el contenido de hierro (ppm) y potasio (%) de las pasturas de las zonas altas, medias y bajas del módulo de Mantecal, en diferentes épocas del año (niveles críticos = 50 ppm y  0,70%, respectivamente.

Esta situación y la hipótesis de capacidades diferenciales entre especies para la absorción y acumulación de elementos disponibles en el suelo, aunado a la mayor concentración de carbohidratos no estructurales en las especies C3 (Tejos, 1994), parecen justificar los menores tenores de calcio y sodio reportados para el tratamiento de PC y con similar tendencia para cobre, zinc y azufre, encontrados para las partes bajas de los tratamientos diferidos durante el período de sequía, así como el mayor porcentaje y velocidad de incremento de proteína, al final de éste período, logrado en el tratamiento de PDR. Así, una mejor condición de la especie L hexandra en la pastura bajo PDR, que permitió su acelerada recuperación luego del período de estrés hídrico, se señalaría como la causa de una mayor y mejor cantidad y calidad forrajera, así como la razón del mejoramiento de los tenores de los principales elementos minerales con el inicio de las lluvias, que influiría en el desempeño animal, principalmente sobre la obtención y mantenimiento de la gestación, dado una necesaria temporada de monta durante el período de sequía.

Al estudiar la matriz de correlación emanada del análisis de componentes principales, en sentido general se obtuvieron para los minerales interacciones significativas (>0,60 ó <-0,60 de coeficiente), donde sobresalen las siguientes:

El déficit de humedad en la pastura se correlacionó positivamente con los niveles de hierro y cobre, en las zonas media y baja.

  • La disponibilidad de L. hexandra mostró correlación positiva con los tenores de proteína cruda y calcio, especialmente durante el período de sequía, mientras que con los niveles de hierro y cobre, la correlación fue negativa en las zonas media y baja; y similarmente negativa con el nivel de manganeso en las zonas media y alta.

  • Durante el período de sequía, la oferta de Hymenachne amplexicaulis estuvo correlacionada positivamente con los niveles de hierro y cobre en la zona baja y de manganeso en la zona media, pero negativamente con los niveles de calcio, en ambas zonas.  Sin embargo, al iniciarse las lluvias estas correlaciones se invierten y se obtiene a su vez positividad con los niveles de potasio en la zona baja.

  • La oferta de Panicum laxum estuvo positiva y consistentemente correlacionada con los niveles de manganeso y durante el período de salidas de lluvias con los niveles de potasio, zinc y cobre en las zonas alta y media, mientras que durante el período de lluvias se correlacionó negativamente con los tenores de proteína cruda de la última zona.

  • En el plano de macro y micro elementos, el calcio fue negativamente correlacionado con el hierro y el cobre en las zonas media y baja, especialmente durante el período de sequía; mientras que el potasio con similar comportamiento anterior, también indica correlación negativa con el manganeso en la zona media a entradas del período lluvioso. El hierro durante el período de sequía, se correlacionó positivamente con el cobre en la zona baja y el manganeso en la zona media, mas estas correlaciones se invierten con el inicio del período lluvioso.  Mientras que el cobre a salidas del período lluvioso se correlacionó negativamente con los tenores de proteína cruda en las zonas baja y media; y durante este período el zinc se correlacionó positivamente con el manganeso en las zonas altas y media, y con el cobre en todas las zonas.

Este efecto manifiesto en los niveles de los elementos minerales en las diferentes comunidades de la pastura da pie a una mayor investigación sobre la hipótesis de capacidades diferenciales de extracción y acumulación de elementos por las especies predominantes, con énfasis en los de reconocida influencia en los procesos reproductivos, aspecto no abordado y de necesario esclarecimiento en pasturas tropicales.  

CONCLUSIONES

  • La mayor oferta de la especie Leersia hexandra en los tratamientos diferidos ante el tratamiento de Pastoreo Continuo, produjo en sentido general una mejor calidad de las pasturas sometidas a diferimiento.

  • Un mayor estrés hídrico se correlacionó con mayores tenores de hierro y cobre en la oferta de zonas medias y bajas de la sabana.

  •  El aporte de la especie Leersia hexandra se correlacionó positivamente con tenores de proteína cruda y calcio, cuando Hymenachne amplexicaulis lo hace con niveles de hierro y cobre.  

  • La mayor oferta de Panicum laxum se correlacionó positivamente con niveles de manganeso, potasio, zinc y cobre en zonas altas y medias de la sabana, durante el período de salidas de lluvias y negativamente con el tenor proteico durante el período lluvioso en zona media.  

Effects of the methods of grazing on modulated savannahs. II. Protein and minerals composition in plant and soil 

SUMMARY

The research was carried out in the Experimental Module of Mantecal, Apure state, Venezuela (7°35' N and 69°10' W), during the period 1984-1998, with the objective of evaluate the interaction between the primary and secondary production on hyperstational savannas. The dominant vegetation in the Bancos (high physiographic zone) was constituted by the grasses Panicum laxum, Paspalum chaffanjonii, Leersia hexandra and Axonopus compressus and more than other 80 species. In the Bajíos (medium physiographic zone) the vegetation was conformed by the grasses P. laxum, L. hexandra, P. chaffanjonii and Hymenachne amplexicaulis, plus another 50 species, while in the swamps or Esteros (low physiographic zone) the annual flood rhythm induces the dominance of L. hexandra and H. amplexicaulis grasses and other 15 hydrophyte species. Two hundred ha were assigned with similar proportions of high, medium and low physiographic zones to three different grazing methods: continuous (CG), deferred (DG) grazing as the use of higher areas during the peak of the rainy season, the medium areas in the transition rainy-dry and dry-rainy period, and the low areas during the dry period, and deferred-rotary Grazing (DRG), with similar grazing management than DG, but with three subdivisions in their medium and six on low physiographic zones, respectively. The production system in the three treatments was a cow-steer, with breeding season during the dry period, stocked at of 0.50 AU/ha/year. The DM protein concentration of the pastures were highly deficient only under CG, during the dry period (CG=5.8; DG=6.6; DRG=7.3%), with an increase at the beginning of the rainy season on: high (14.1%) < medium (16.3%) < low areas (16.5%); and for treatment on: CG (13.6%) < DG (16.0%) < DRG (17.3%). The levels of phosphorus were widespread deficient (0.15%) and for calcium was deficient especially under CG (CG=0.14; DG=0.21; DRG=0.20%), to approach minimum levels of those recommended at the beginning of the rainy period, in medium and low areas with deferred uses (CG=0.16; DG =0.24; DRG=0.24%). Similar pattern showed magnesium during the dry (0.15%) and rainy seasons (0.15%), with emphasis in medium and low areas, and for sodium in high (0.09%) and medium areas (0.09%). Potassium showed deficiency during the drought season, mainly under DRG (CG=0.56; DG=0.40; DRG=0.25%); similarly, copper for low areas (CG=26; DG=13; DRG=9 ppm), and zinc for medium and low areas (26 ppm). In this last area, sulphur showed deficit in all treatments (CG=0.10; DG=0.11; DRG=0.10%). These last three elements elevated their readiness at the beginning of the rainy season. During the dry season, iron increased up to 1.000 ppm in medium and low areas, and manganese up to 300 ppm in high and medium areas of the treatments, with significant reductions at the beginning of the rainy season. L. hexandra grass was positively correlated with the levels of DM protein concentration and calcium, as well, H. amplexicaulis grass with iron and cooper, and P. laxum grass with manganese, potassium, zinc and cooper.

Key words: savanna, grazing method, protein, minerals.  

 

BIBLIOGRAFÍA

Asociation of Official Analytical Chemists. (AOAC) 1984. Official Methods of Analysis. (15° Ed.)  Washington D. C., 1018 p.  

Chicco C. y S. Godoy. 2002. Nutrición mineral de los bovines de carne en Venezuela. En Romero, R., R. Arango y A. Salomón (Eds.) XVIII Cursillo sobre bovinos de carne. Universidad Central de Venezuela. Facultad de Ciencias Veterinarias. Maracay, Venezuela, pp.135-155.

Fiske C. y E. Subarrow. 1925. The colorimetric determination of phosphorus. Journal Biological Chemistry, 66: 375.

Mc Dowell L., J. Velásquez y J. Valle. 1997.

Minerales para rumiantes en pastoreo en regiones tropicales. 3er. Ed. Universidad de Florida. Gainesville. USA, 85 p.

Mullenax C. y L. Baumann. 1990. Limites a la producción animal en los suelos ácidos del mundo. En Warrer (Ed.) World Animal Production. Vol. 2: 111-162.

Reppert J. y R. Francis.  1973.  Interpretation of trend in range condition from 3 step data. United States. Department of Agriculture. Forest Service. Colorado.

Rojas L.,  A. Moya, L. Mc Dowell, F. Martín y J. Conrad. 1994. Estado mineral de una finca en el suroeste de los llanos de Venezuela. Zootecnia Tropical, 12 (2): 161-185.

Rojas L., L. Mc Dowell, F. Martín y N. Wilkinson. 1993. Estado mineral de suelo, pasto y ganado de carne en el sureste de Venezuela. Síndrome Parapléjico: Una revisión. Zootecnia Tropical, 11(1): 27-47.

Soil Survey Staff. 1998. Keys to Soil Taxonomy. Eighth Edition. USDA, NRCS. Washington, D.C, 325 p.

SAS Institute.1989. SAS/STAT User´s Guide, Versión 6, 4th ed. SAS Inst. Cary, NC. 846 pp.

Tejos R. 2000. Caracterización y manejo de pastos nativos de sabanas inundables. En Tejos, R., C. Zambrano, L. Mancilla y W. García (Eds) VI Seminario sobre manejo y utilización de pastos y forrajes en sistemas de producción animal.  Universidad Nacional Experimental de los Llanos Ezequiel Zamora. Barinas, Venezuela, pp 16-25.

Tejos R. 1994. Análisis de crecimiento, valor nutritivo, reservas y descomposición de cinco gramíneas de sabanas inundables. Tesis Doctoral. Universidad Central de Venezuela. Facultad de Agronomía. Maracay, Venezuela, 199 p.

Torres R. 2003. Estudio de los factores interactuantes sobre la producción primaria y secundaria de sabanas moduladas. Tesis Doctoral. Universidad Central de Venezuela. Facultad de Agronomía. Maracay, Venezuela, 197 p.

Torres R., E. Chacón, F. Ovalles, O. Guenni, L. Astudillo, J. Carrasquel y E. García. 2003. Efectos de métodos de pastoreo sobre sabanas moduladas. I. Sucesión de la sabana. Zootecnia Tropical, 21(4): 425-448.

Torres R.  1986.  Patrones de utilización de la vegetación de sabanas moduladas por bovinos de carne a pastoreo. Tesis de Maestría. Universidad Central de Venezuela. Facultades de Agronomía y Ciencias Veterinarias. Maracay, Venezuela, 159 p.


^

Zootecnia Tropical > Sumario de la Colección > Volumen 21